W tym zadaniu musisz obliczyć pole trapezu, wiedząc, że krótsze ramię ma długość 5 cm, a odcinek łączący środki ramion trapezu ma 6 cm.
Pole trapezu jest równe:
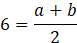
Wiedząc, że wysokość jest równa 5, a odcinek łączący środki ramion trapezu wynosi 6, oblicz pole podstawiając do wzoru .
Zadanie 1.
Zadanie 2.
Zadanie 3.
Zadanie 4.
Zadanie 5.
Podpunkt a)
Podpunkt b)
Zadanie 6.
Zadanie 7.
Zadanie 8.
Zadanie 9.
Zadanie 10.
Zadanie 11.
Zadanie 12.
Zadanie 13.
Podpunkt 1)
Podpunkt 2)
Podpunkt c)
Zadanie 14.
Zadanie 15.
Zadanie 16.
Zadanie 17.
Zadanie 18.
Zadanie 19.