Wysokości trójkąta wyznaczam jako odległość wierzchołka od przeciwległego boku, a więc obliczam współrzędne wierzchołków tego trójkąta:
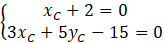
Wierzchołek
A więc
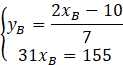
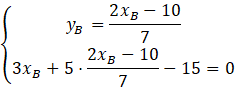
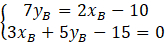
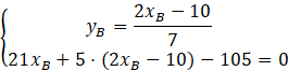
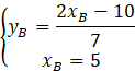
Wierzchołek
A więc
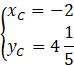
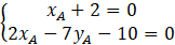
Wierzchołek
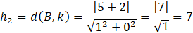
A więc
Obliczam wysokości:
Wysokości trójkąta wyznacz jako odległość wierzchołka od przeciwległego boku, a więc oblicz współrzędne wierzchołków tego trójkąta, tworząc układ równań z dwoma równaniami prostych i wyznaczając punkt przecięcia, który jest szukanym wierzchołkiem, należy postąpić analogicznie z dwoma pozostałymi wierzchołkami. Następnie wysokości oblicz jako odległość punktu od prostej, na której nie leży dany punkt, w ten sposób wyznaczysz trzy wysokości.