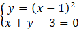
Współrzędne punktu A:
Odczytuj współrzędne wierzchołka z postaci kanonicznej funkcji, zatem
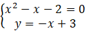
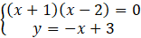
Wyznaczam współrzędne punktów B i C:
Zatem współrzędne punktów B i C to
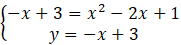
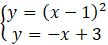
Korzystając z postaci kanonicznej równania paraboli, wyznacz współrzędne punktu A. Następnie, aby wyznaczyć współrzędne punktów B i C rozwiąż układ równań z dwoma równaniami: paraboli i prostej.