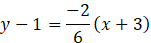
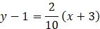
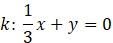
Wysokości trójkąta wyznaczam jako odległość wierzchołka od przeciwległego boku, a więc wyznaczam proste, w których zawierają się boki trójkąta:
Prostą
Prostą
Prostą
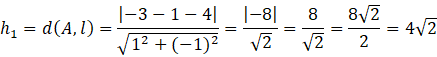
Obliczam wysokości:
Wysokości trójkąta wyznacz jako odległość wierzchołka od przeciwległego boku, a więc najpierw wyznacz równania prostych, następnie oblicz odległości wierzchołków od prostych, na której nie leży dany punkt, w ten sposób wyznaczysz trzy wysokości.