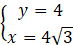
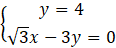
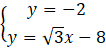
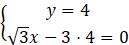
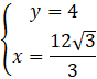
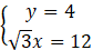
Wyznaczam współrzędne punktu A, obliczając współrzędne przecięcia dwóch prostych.
Współrzędne punktu A to
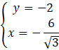
Z treści zadania wiadomo, że punkt D ma współrzędne
Wiedząc, że kąt BAD ma miarę
Długość odcinka AD można opisać również jako:
Analizując rozwiązaniem z założeniem
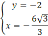
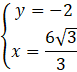
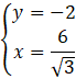
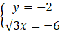
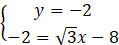
Punkt D ma współrzędne
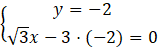
Prosta CD jest opisana równaniem
Wyznaczam współrzędne punktu C, obliczając punkt przecięcia prostych CD i l.
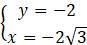
Punkt C ma współrzędne
Wyznaczam równanie prostej BC, która jest równoległa do prostej AD zatem współczynnik kierunkowy jest równy
Obliczam b:
Równanie prostej to:
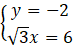
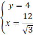
Wyznaczam współrzędne punktu B, obliczając punkt przecięcia prostych BC i k:
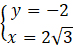
Punkt B ma współrzędne
Punktu rombu ABCD mają współrzędne
Najpierw wyznacz współrzędne punktu A jako współrzędne punktu przecięcia prostych k i l. Następnie wykonaj rysunek poglądowy, i zauważ, że trójkąt ASP ma miary kątów: