W tym zadaniu musisz wyznaczyć liczbę a i podać współrzędne wektorów i , wiedząc, że i są równoległe.
Rozwiązanie
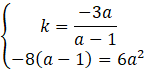
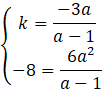
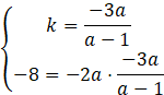
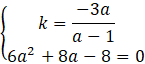
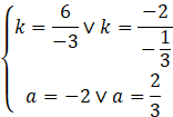
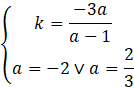
Rozwiązuje równanie kwadratowe :
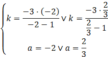
Wracając do układu równań:
Dla dane są wektory i .
Dla dane są wektory i .
Wyjaśnienie
Jeżeli wektory są równoległe, to znaczy, że zachodzi równość . Korzystając z tego, stwórz układ równań, a następnie go rozwiąż i wyznacz wartość a, dla konkretnych wartości liczby k. Wyznacz współrzędne wektorów u i v.