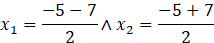
Rozwiązuję równanie kwadratowe:
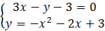
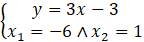
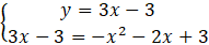
Wracając do układu równań:
Punkty
Aby obliczyć współrzędne szukanych punktów, musisz rozwiązać układ równań z dwoma równaniami opisującymi wykresy funkcji, na których leżą punkty A i B. W układzie równań musisz rozwiązać równanie kwadratowe, aby wyznaczyć dwa miejsca, gdzie prosta i parabola się przecinają. Następnie wyliczone wartości x podstaw do wzorów na drugą współrzędną i oblicz.