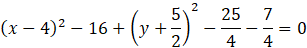
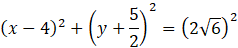
Zadanie

W tym zadaniu musisz wyznaczyć środek okręgu oraz jego promień opisanego równaniem , korzystając sposobów podanych w przykładach 2. i 3.

Rozwiązanie

Wyjaśnienie

Zadania z tego działu
Geometria analityczna
182
Pole trójkąta. Pole wielokąta
198