Zadanie

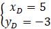
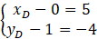
W tym zadaniu musisz obliczyć współrzędne punktów podziału, wiedząc, że odcinek podzielono na trzy odcinki równej długości, dane są współrzędne punktów , .

Rozwiązanie

Wyjaśnienie

Zadania z tego działu
Geometria analityczna
182
Pole trójkąta. Pole wielokąta
198