W tym zadaniu musisz naszkicować prostą l: y = x - 4 oraz obliczyć odległość tej prostej od punktu O(0,0), a następnie poprowadź prostą k: y = x i podaj, jaka jest odległość między prostymi k i l.
Rozwiązanie
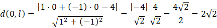
Zatem odległość między prostymi wynosi .
Wyjaśnienie
Narysuj układ współrzędnych i umieść na nim dwie proste: k i l. Następnie zaznacz odległość między punktem O i prostą l i ją oblicz, ta odległość jest odległością prostej l od prostej k.