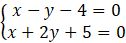
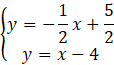
Wyznacz punkt przecięcia tych prostych:
Punkt przecięcia się prostych ma współrzędne
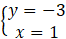
Wyznaczam drugi punkt, przekształcając punkt A względem punktu (0,0). Zatem
Punkt C należy do prostej równoległej do prostej m. Zatem równanie ma postać:
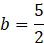
Obliczam b:
Równanie prostej p, która jest równoległa do prostej k, ma postać
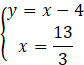
Współrzędne punktu B otrzymuję z przecięcia prostych k i p:
Punkt B ma współrzędne
Punkty tego równoległoboku mają współrzędne
Wyznacz współrzędne punktu A, korzystając z punktu przecięcia prostych. Następnie wyznacz punkt C, przekształcając punkt A względem punktu (0,0). Aby obliczyć współrzędne następnego punktu, wyznacz prostą równoległą do prostej m i oblicz współrzędne punktu przecięcia tej prostej z prostą k. Ostatnie współrzędne punktu wyznacz, korzystając z symetrii względem punktu (0,0).