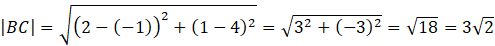
Obliczam długości boków tego trójkąta.
Długość odcinka AB jest największa, zatem będzie to wytypowana przeciwprostokątna.
Stosuję twierdzenie odwrotne do twierdzenia Pitagorasa:
Zatem ten trójkąt jest prostokątny.
Pole trójkąta ABC jest równe:
Najpierw wyznacz długości boków AB, BC i AC, następnie zauważ, który z boków jest najdłuższy i wykonaj sprawdzenie czy trójkąt jest prostokątny, stosując twierdzenie odwrotne do twierdzenia Pitagorasa. Oblicz pole tego trójkąta jako