Punkty, które należą do okręgu:
Zatem
Zatem
Środkiem tego okręgu jest punkt
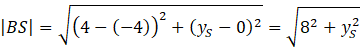
Punkty A i B należą do okręgu, a więc odległości punktów od środka są równe długości promienia tego okręgu.
Zatem współrzędne środka to
Równanie tego okręgu to:
Najpierw wiedząc, że punkty przecięcia prostej k z osiami współrzędnych są postaci