Proste styczne do okręgu i jednocześnie równoległe do prostej k są postaci:
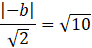
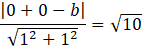
Proste te będą styczne wtedy, gdy odległość od środka okręgu do prostej będzie równa długości promienia:
Równania ogólne prostych stycznych do okręgu mają postać:
Odczytaj współrzędne środka okręgu oraz jego promień, zauważ, że proste styczne będą miały postać