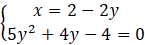
Rozwiązuję równanie kwadratowe:
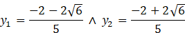
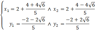
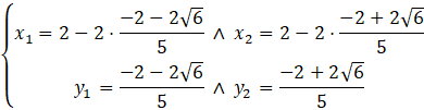
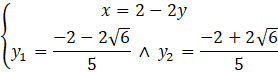
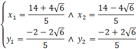
Wracając do układu równań:
Prosta i okrąg mają dwa punkty wspólne o współrzędnych:
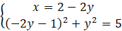
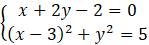
Aby wyznaczyć punkty wspólne okręgu i prostej rozwiąż układ równań z dwoma równaniami opisującymi i prostą i okrąg. W trakcie występuje równanie kwadratowe, rozwiąż je osobno, a następnie wróć do układu równań z rozwiązaniami tego równania i oblicz współrzędne punktów wspólnych.