Punkt C leży na osi OY, co oznacza, że ma on współrzędne
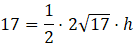
Pole trójkąta ABC zapisuję jako:
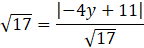
Obliczam wartość h:
Wyznaczam równanie prostej
Punkt C ma współrzędne
Oblicz wartość, jaką przyjmuje wysokość trójkąta. Następnie wyznacz równanie prostej AB i oblicz odległość punktu C od prostej AB i przyrównaj otrzymane wyrażenie do obliczonej wysokości. Wyznacz dwie możliwości współrzędnych punktu C.