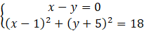
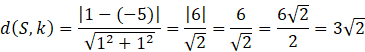
Obliczam odległość środka okręgu od prostej k, aby móc określić położenie prostej względem okręgu:
Odległość środka okręgu od prostej k jest równa promieniowi okręgu, a więc prosta k jest styczna z okręgiem.
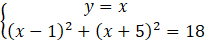
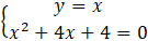
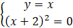
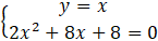
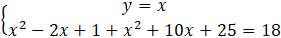
Punkt wspólny prostej i okręgu ma współrzędne:
Punkt wspólny ma współrzędne
Aby wykazać, że prosta k jest styczną do okręgu, na początku zamień równanie okręgu na postać kanoniczną i odczytaj, jakie współrzędne ma środek i jaką długość ma promień tego okręgu, a następnie oblicz, jaka jest odległość środka S od prostej k. Jest ona równa promieniowi okręgu, co oznacza, że jest styczną. Natomiast aby wyznaczyć punkt styczności, rozwiąż układ równań z dwoma danymi równaniami, otrzymasz współrzędne punktu styczności.