W tym zadaniu musisz obliczyć, ile gruszek jest w każdym z 2 koszy, jeśli wiadomo, że gdyby przełożono 2 gruszki z drugiego kosza do pierwszego, to w obu koszach byłoby tyle samo gruszek, natomiast przy przełożeniu 4 gruszek z pierwszego kosza do drugiego, w drugim koszu byłoby dwa razy więcej gruszek niż w pierwszym.
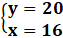
Odp. W 1 koszu znajduje się 16 gruszek, a w drugim 20.
Zapisz niewiadome:
Zinterpretuj dane:
Gdyby przełożyć 2 gruszki z drugiego kosza do pierwszego, to w obu koszach byłoby tyle samo gruszek.
Gdyby natomiast przełożyć 4 gruszki z pierwszego kosza do drugiego, to w drugim koszu byłoby dwa razy więcej gruszek niż w pierwszym.
Stwórz układ równań:
Rozwiąż go.
Zadanie 5.1.
153Zadanie 5.2.
153Zadanie 5.3.
153Zadanie 5.4.
153Zadanie 5.6.
154Zadanie 5.7.
154Zadanie 5.8.
154Zadanie 5.9.
154Zadanie 5.10.
155Zadanie 5.11.
155Zadanie 5.12.
155Zadanie 5.13.
155Zadanie 5.14.
156Zadanie 5.15.
156Zadanie 5.16.
156Zadanie 5.17.
157Zadanie 5.18.
157Zadanie 5.19.
158Zadanie 5.20.
158Zadanie 5.21.
158Zadanie 5.22.
158Zadanie 5.23.
159Zadanie 5.24.
159Zadanie 5.25.
160Zadanie 5.26.
160Zadanie 5.27.
160Zadanie 5.28.
160Zadanie 5.29.
160Zadanie 5.30.
161Zadanie 5.31.
161Zadanie 5.34.
161Zadanie 5.35.
162Zadanie 5.36.
162Zadanie 5.37.
162Zadanie 5.38.
163Zadanie 5.39.
163Zadanie 5.40.
163Zadanie 5.41.
163Zadanie 5.42.
163Zadanie 5.44.
164Zadanie 5.45.
164Zadanie 5.46.
164Zadanie 18.
171Zadanie 19.
171Zadanie 20.
171Zadanie 21.
172Zadanie 22.
172Zadanie 23.
172Zadanie 32.
173Zadanie 36.
174Zadanie 40.
174