W tym zadaniu musisz obliczyć długość i szerokość danego prostokąta, wiedząc, że długość danego prostokąta powiększysz o 4 cm, a szerokość o 3 cm, to jego pole zwiększy się o 43 cm2, natomiast jeśli jego długość zwiększysz o 7 cm, a szerokość pozostawisz bez zmiany, to jego pole powiększy się o 28 cm2.
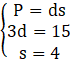
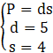
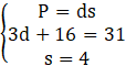
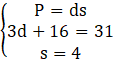
Zapisz niewiadome:
Zinterpretuj dane:
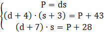
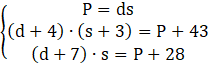
Wzór na pole prostokąta:
Jeśli długość danego prostokąta powiększymy o 4 cm, a szerokość o 3 cm, to jego pole zwiększy się o 43 cm2.
Jeśli natomiast jego długość zwiększymy o 7 cm, a szerokość pozostawimy bez zmiany, to jego pole powiększy się o 28 cm2.
Utwórz układ równań:
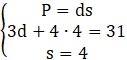
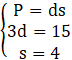
Rozwiąż go.
Rozwiązanie zadania:
Zadanie 5.1.
153Zadanie 5.2.
153Zadanie 5.3.
153Zadanie 5.4.
153Zadanie 5.6.
154Zadanie 5.7.
154Zadanie 5.8.
154Zadanie 5.9.
154Zadanie 5.10.
155Zadanie 5.11.
155Zadanie 5.12.
155Zadanie 5.13.
155Zadanie 5.14.
156Zadanie 5.15.
156Zadanie 5.16.
156Zadanie 5.17.
157Zadanie 5.18.
157Zadanie 5.19.
158Zadanie 5.20.
158Zadanie 5.21.
158Zadanie 5.22.
158Zadanie 5.23.
159Zadanie 5.24.
159Zadanie 5.25.
160Zadanie 5.26.
160Zadanie 5.27.
160Zadanie 5.28.
160Zadanie 5.29.
160Zadanie 5.30.
161Zadanie 5.31.
161Zadanie 5.34.
161Zadanie 5.35.
162Zadanie 5.36.
162Zadanie 5.37.
162Zadanie 5.38.
163Zadanie 5.39.
163Zadanie 5.40.
163Zadanie 5.41.
163Zadanie 5.42.
163Zadanie 5.44.
164Zadanie 5.45.
164Zadanie 5.46.
164Zadanie 18.
171Zadanie 19.
171Zadanie 20.
171Zadanie 21.
172Zadanie 22.
172Zadanie 23.
172Zadanie 32.
173Zadanie 36.
174Zadanie 40.
174