W kwadracie ABCD o długości boku 2 wpisano trójkąt AKL, który jest równoramienny. Trójkąt ten został umieszczony tak, że jego wysokość zawarta jest w przekątnej AC. Przedstaw pole powierzchni tego trójkąta jako funkcję jego wysokości h. Narysuj wykres tej funkcji. Oblicz także wysokość trójkąta, dla której pole jest maksymalne.
I przypadek
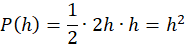
|KE| = |EA| = |EL| = h
|KE| = |EL| = h
|KL| = 2h
Wartość największa dla
Przypadek II
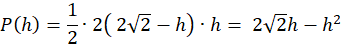
|AF| = h
Zauważ, że |KF| = |FC| = |FE|
|FE| = |FC| = |AC| - |AF| =
Brak wartości największej
Największe pole dla
Zacznij od obliczenia długości przekątnej AC, korzystając ze wzoru na przekątną kwadratu. Następnie rozważ dwa przypadki ułożenia trójkąta AKL.
Przypadek I
Uzupełnij wartości kątów w trójkątach KEA i ELA
Zauważ, że |KE| = |EA| = |EL| = h
|KE| = |EL| = h
|KL| = 2h
Stwórz wzór funkcji opisującej pole trójkąta AKL w zależności od h. Narysuj wykres tej funkcji w dziedzinie
Przypadek II
Uzupełnij wartości kątów, które są znane.
|AF| = h
Zauważ, że |KF| = |FC| = |FE|
|FE| = |FC| = |AC| - |AF| =
Stwórz wzór funkcji opisującej pole trójkąta AKL w zależności od h. Narysuj wykres tej funkcji w dziedzinie
Zadanie 1.5.
11Zadanie 1.6.
11Zadanie 1.7.
11Zadanie 1.8.
11Zadanie 1.10.
11Zadanie 1.12.
11Zadanie 1.13.
11Zadanie 2.6.
18Zadanie 2.7.
18Zadanie 2.8.
19Zadanie 2.14.
19Zadanie 3.5.
27Zadanie 3.6.
27Zadanie 3.7.
27Zadanie 3.8.
27Zadanie 3.9.
27Zadanie 3.10.
27Zadanie 3.11.
28Zadanie 3.12.
28Zadanie 3.13.
28Zadanie 3.14.
28Zadanie 3.15.
28Zadanie 3.17.
28Zadanie 3.18.
29Zadanie 3.19.
29Zadanie 3.20.
29Zadanie 3.21.
29Zadanie 4.5.
34Zadanie 4.6.
34Zadanie 4.7.
34Zadanie 4.8.
34Zadanie 4.9.
34Zadanie 4.11.
34Zadanie 4.18.
35Zadanie 4.19.
35Zadanie 4.21.
36Zadanie 5.
36Zadanie 5.5.
40Zadanie 5.6.
40Zadanie 5.7.
40Zadanie 5.8.
40Zadanie 5.10.
40Zadanie 5.14.
41Zadanie 5.15.
41Zadanie 5.16.
41Zadanie 5.17.
41Zadanie 6.5.
46Zadanie 6.6.
47Zadanie 6.7.
47Zadanie 6.8.
47Zadanie 6.9.
47Zadanie 6.11.
48Zadanie 6.12.
48Zadanie 7.5.
54Zadanie 7.8.
54Zadanie 7.9.
54Zadanie 7.10.
54Zadanie 7.14.
55Zadanie 8.7.
60Zadanie 9.1.
71Zadanie 9.2.
71Zadanie 9.3.
71Zadanie 9.4.
72Zadanie 9.5.
72Zadanie 9.14.
73Zadanie 9.15.
73Zadanie 9.16.
73Zadanie 9.24.
74Zadanie 9.25.
74Zadanie 9.26.
74Zadanie 34.
81Zadanie 35.
81Zadanie 36.
81Zadanie 37.
81Zadanie 38.
81Zadanie 40.
81Zadanie 41.
82Zadanie 42.
82Zadanie 44.
82Zadanie 54.
83Zadanie 55.
83Zadanie 58.
83Zadanie 60.
84Zadanie 61.
84Zadanie 63.
84Zadanie 65.
84Zadanie 66.
85Zadanie 67.
85Zadanie 68.
85Zadanie 72.
85Zadanie 73.
85Zadanie 75.
85Zadanie 76.
86Zadanie 86.
86