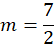
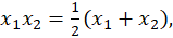
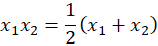
Zadanie

Wskaż, dla jakich wartości parametru m równanie posiada dwa różne pierwiastki, których iloczyn jest równy połowie ich sumy.

Rozwiązanie

Wyjaśnienie

Zadania z tego działu
Dział 1. Zastosowania funkcji kwadratowej
8
10. Powtórzenie
76

Zadanie 34.

81

Zadanie 35.

81

Zadanie 36.

81

Zadanie 37.

81

Zadanie 38.

81

Zadanie 40.

81

Zadanie 41.

82

Zadanie 42.

82

Zadanie 44.

82

Zadanie 54.

83

Zadanie 55.

83

Zadanie 58.

83

Zadanie 60.

84

Zadanie 61.

84

Zadanie 63.

84

Zadanie 65.

84

Zadanie 66.

85

Zadanie 67.

85

Zadanie 68.

85

Zadanie 72.

85

Zadanie 73.

85

Zadanie 75.

85

Zadanie 76.

86

Zadanie 86.

86