W tym zadaniu wskaż dla jakich wartości parametru m nierówność
Dla
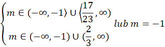
Dla m = -1
Dla
Dla
Warunek I
Warunek II
Zacznij od sprawdzenia co stanie się, kiedy funkcja będzie funkcją liniową, czyli
Dla m = -1 równanie jest sprzeczne, czyli nie ma rozwiązań.
Dla
Dla pozostałych wartości m funkcja będzie funkcją kwadratową i nierówność nie będzie mieć rozwiązań, kiedy parabola będzie znajdować się nad osią x i delta będzie większa lub równa 0.
Zadanie 1.5.
11Zadanie 1.6.
11Zadanie 1.7.
11Zadanie 1.8.
11Zadanie 1.10.
11Zadanie 1.12.
11Zadanie 1.13.
11Zadanie 2.6.
18Zadanie 2.7.
18Zadanie 2.8.
19Zadanie 2.14.
19Zadanie 3.5.
27Zadanie 3.6.
27Zadanie 3.7.
27Zadanie 3.8.
27Zadanie 3.9.
27Zadanie 3.10.
27Zadanie 3.11.
28Zadanie 3.12.
28Zadanie 3.13.
28Zadanie 3.14.
28Zadanie 3.15.
28Zadanie 3.17.
28Zadanie 3.18.
29Zadanie 3.19.
29Zadanie 3.20.
29Zadanie 3.21.
29Zadanie 4.5.
34Zadanie 4.6.
34Zadanie 4.7.
34Zadanie 4.8.
34Zadanie 4.9.
34Zadanie 4.11.
34Zadanie 4.18.
35Zadanie 4.19.
35Zadanie 4.21.
36Zadanie 5.
36Zadanie 5.5.
40Zadanie 5.6.
40Zadanie 5.7.
40Zadanie 5.8.
40Zadanie 5.10.
40Zadanie 5.14.
41Zadanie 5.15.
41Zadanie 5.16.
41Zadanie 5.17.
41Zadanie 6.5.
46Zadanie 6.6.
47Zadanie 6.7.
47Zadanie 6.8.
47Zadanie 6.9.
47Zadanie 6.11.
48Zadanie 6.12.
48Zadanie 7.5.
54Zadanie 7.8.
54Zadanie 7.9.
54Zadanie 7.10.
54Zadanie 7.14.
55Zadanie 8.7.
60Zadanie 9.1.
71Zadanie 9.2.
71Zadanie 9.3.
71Zadanie 9.4.
72Zadanie 9.5.
72Zadanie 9.14.
73Zadanie 9.15.
73Zadanie 9.16.
73Zadanie 9.24.
74Zadanie 9.25.
74Zadanie 9.26.
74Zadanie 34.
81Zadanie 35.
81Zadanie 36.
81Zadanie 37.
81Zadanie 38.
81Zadanie 40.
81Zadanie 41.
82Zadanie 42.
82Zadanie 44.
82Zadanie 54.
83Zadanie 55.
83Zadanie 58.
83Zadanie 60.
84Zadanie 61.
84Zadanie 63.
84Zadanie 65.
84Zadanie 66.
85Zadanie 67.
85Zadanie 68.
85Zadanie 72.
85Zadanie 73.
85Zadanie 75.
85Zadanie 76.
86Zadanie 86.
86