W tym zadaniu musisz wyznaczyć miary długości boków trójkąta równoramiennego, wiedząc, że jeden z boków jest dwa razy dłuższy od drugiego, a obwód jego wynosi 20.
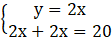
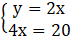
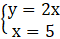
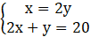
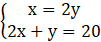
1. Przypadek: ramiona 2x dłuższe od podstawy
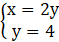
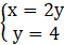
2. Przypadek: podstawa 2x dłuższa od ramion
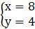
Długości boków trójkąta to w 4,8,8 lub 10,5,5.
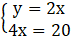
Zapisz niewiadome.
Wypisz dane:
Równoramienny.
Obwód tego trójkąta jest równy 20:
Musisz rozważyć dwa przypadki: pierwszy, gdy ramiona są dłuższe od podstawy, drugi, gdy podstawa jest dłuższa.
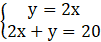
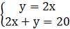
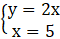
3. Przypadek: ramiona 2x dłuższe od podstawy
Stwórz układ:
Rozwiąż go.
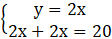
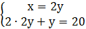
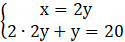
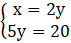
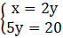
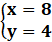
4. Przypadek: podstawa 2x dłuższa od ramion
Stwórz układ:
Rozwiąż go.
Zadanie 5.1.
153Zadanie 5.2.
153Zadanie 5.3.
153Zadanie 5.4.
153Zadanie 5.6.
154Zadanie 5.7.
154Zadanie 5.8.
154Zadanie 5.9.
154Zadanie 5.10.
155Zadanie 5.11.
155Zadanie 5.12.
155Zadanie 5.13.
155Zadanie 5.14.
156Zadanie 5.15.
156Zadanie 5.16.
156Zadanie 5.17.
157Zadanie 5.18.
157Zadanie 5.19.
158Zadanie 5.20.
158Zadanie 5.21.
158Zadanie 5.22.
158Zadanie 5.23.
159Zadanie 5.24.
159Zadanie 5.25.
160Zadanie 5.26.
160Zadanie 5.27.
160Zadanie 5.28.
160Zadanie 5.29.
160Zadanie 5.30.
161Zadanie 5.31.
161Zadanie 5.34.
161Zadanie 5.35.
162Zadanie 5.36.
162Zadanie 5.37.
162Zadanie 5.38.
163Zadanie 5.39.
163Zadanie 5.40.
163Zadanie 5.41.
163Zadanie 5.42.
163Zadanie 5.44.
164Zadanie 5.45.
164Zadanie 5.46.
164Zadanie 18.
171Zadanie 19.
171Zadanie 20.
171Zadanie 21.
172Zadanie 22.
172Zadanie 23.
172Zadanie 32.
173Zadanie 36.
174Zadanie 40.
174