W tym zadaniu musisz wyznaczyć liczby dwie liczby, których różnica wynosi 10, a gdy większą z nich podzielisz przez mniejszą, to otrzymasz iloraz 3 i resztę 2.
Zapisz niewiadome:
Zinterpretuj dane:
Różnica dwóch liczb naturalnych dodatnich jest równa 10.
Jeżeli większą z nich podzielmy przez mniejszą, to otrzymamy iloraz 3 i resztę 2.
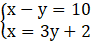
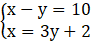
Stwórz układ równań:
Podstaw x z drugiego równania do pierwszego.
Wyznacz x.
Szukane liczby:
Zadanie 5.1.
153Zadanie 5.2.
153Zadanie 5.3.
153Zadanie 5.4.
153Zadanie 5.6.
154Zadanie 5.7.
154Zadanie 5.8.
154Zadanie 5.9.
154Zadanie 5.10.
155Zadanie 5.11.
155Zadanie 5.12.
155Zadanie 5.13.
155Zadanie 5.14.
156Zadanie 5.15.
156Zadanie 5.16.
156Zadanie 5.17.
157Zadanie 5.18.
157Zadanie 5.19.
158Zadanie 5.20.
158Zadanie 5.21.
158Zadanie 5.22.
158Zadanie 5.23.
159Zadanie 5.24.
159Zadanie 5.25.
160Zadanie 5.26.
160Zadanie 5.27.
160Zadanie 5.28.
160Zadanie 5.29.
160Zadanie 5.30.
161Zadanie 5.31.
161Zadanie 5.34.
161Zadanie 5.35.
162Zadanie 5.36.
162Zadanie 5.37.
162Zadanie 5.38.
163Zadanie 5.39.
163Zadanie 5.40.
163Zadanie 5.41.
163Zadanie 5.42.
163Zadanie 5.44.
164Zadanie 5.45.
164Zadanie 5.46.
164Zadanie 18.
171Zadanie 19.
171Zadanie 20.
171Zadanie 21.
172Zadanie 22.
172Zadanie 23.
172Zadanie 32.
173Zadanie 36.
174Zadanie 40.
174