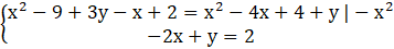
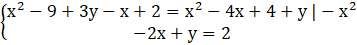
W tym zadaniu musisz rozwiązać podany układ
Przekształć układ równań.
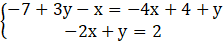
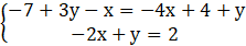
Wyznacz z drugiego równania y.
Podstaw y do pierwszego równania.
Oblicz y.
Rozwiązanie układu.
Zadanie 5.1.
153Zadanie 5.2.
153Zadanie 5.3.
153Zadanie 5.4.
153Zadanie 5.6.
154Zadanie 5.7.
154Zadanie 5.8.
154Zadanie 5.9.
154Zadanie 5.10.
155Zadanie 5.11.
155Zadanie 5.12.
155Zadanie 5.13.
155Zadanie 5.14.
156Zadanie 5.15.
156Zadanie 5.16.
156Zadanie 5.17.
157Zadanie 5.18.
157Zadanie 5.19.
158Zadanie 5.20.
158Zadanie 5.21.
158Zadanie 5.22.
158Zadanie 5.23.
159Zadanie 5.24.
159Zadanie 5.25.
160Zadanie 5.26.
160Zadanie 5.27.
160Zadanie 5.28.
160Zadanie 5.29.
160Zadanie 5.30.
161Zadanie 5.31.
161Zadanie 5.34.
161Zadanie 5.35.
162Zadanie 5.36.
162Zadanie 5.37.
162Zadanie 5.38.
163Zadanie 5.39.
163Zadanie 5.40.
163Zadanie 5.41.
163Zadanie 5.42.
163Zadanie 5.44.
164Zadanie 5.45.
164Zadanie 5.46.
164Zadanie 18.
171Zadanie 19.
171Zadanie 20.
171Zadanie 21.
172Zadanie 22.
172Zadanie 23.
172Zadanie 32.
173Zadanie 36.
174Zadanie 40.
174