W tym zadaniu musisz wyznaczyć dwie liczby, dla których jedna jest o 25% mniejsza od drugiej liczby, natomiast gdy do mniejszej liczby doda się 9, to otrzymana suma będzie 20% większa od drugiej szukanej liczby.
Szukane liczby:
Zinterpretuj dane:
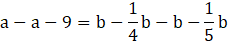
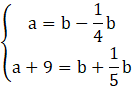
Jedna z szukanych liczb jest o 25% mniejsza od drugiej liczby.
Jeśli do mniejszej liczby dodamy 9, to otrzymana suma będzie 20% większa od drugiej szukanej liczby
Stwórz układ równań:
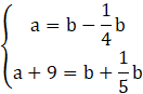
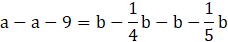
Odejmij stronami.
Wyznacz a.
Rozwiązanie układu.
Zadanie 5.1.
153Zadanie 5.2.
153Zadanie 5.3.
153Zadanie 5.4.
153Zadanie 5.6.
154Zadanie 5.7.
154Zadanie 5.8.
154Zadanie 5.9.
154Zadanie 5.10.
155Zadanie 5.11.
155Zadanie 5.12.
155Zadanie 5.13.
155Zadanie 5.14.
156Zadanie 5.15.
156Zadanie 5.16.
156Zadanie 5.17.
157Zadanie 5.18.
157Zadanie 5.19.
158Zadanie 5.20.
158Zadanie 5.21.
158Zadanie 5.22.
158Zadanie 5.23.
159Zadanie 5.24.
159Zadanie 5.25.
160Zadanie 5.26.
160Zadanie 5.27.
160Zadanie 5.28.
160Zadanie 5.29.
160Zadanie 5.30.
161Zadanie 5.31.
161Zadanie 5.34.
161Zadanie 5.35.
162Zadanie 5.36.
162Zadanie 5.37.
162Zadanie 5.38.
163Zadanie 5.39.
163Zadanie 5.40.
163Zadanie 5.41.
163Zadanie 5.42.
163Zadanie 5.44.
164Zadanie 5.45.
164Zadanie 5.46.
164Zadanie 18.
171Zadanie 19.
171Zadanie 20.
171Zadanie 21.
172Zadanie 22.
172Zadanie 23.
172Zadanie 32.
173Zadanie 36.
174Zadanie 40.
174