W tym zadaniu musisz obliczyć prędkość, z jaką jechał Aleksander drugiego dnia oraz jaki dystans przejechał w poniedziałek i wtorek, jeśli w poniedziałek przejechał pewną drogę w ciągu 1 godziny i 20 minut, a we wtorek jadąc z prędkością o 7 km/h większą pokonał ten sam dystans w czasie o 14 minut krótszym.
Zapisz niewiadome:
Wzór na prędkość:
Zinterpretuj dane:
W poniedziałek podczas treningu przejechał pewną drogę w ciągu 1 godziny i 20 minut. We wtorek jadąc z prędkością o 7 km/h większą pokonał ten sam dystans w czasie o 14 minut krótszym.
Zamień s na vt.
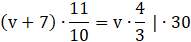
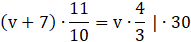
Podstaw dane.
Oblicz s.
Oblicz prędkość drugiego dnia.
Zadanie 5.1.
153Zadanie 5.2.
153Zadanie 5.3.
153Zadanie 5.4.
153Zadanie 5.6.
154Zadanie 5.7.
154Zadanie 5.8.
154Zadanie 5.9.
154Zadanie 5.10.
155Zadanie 5.11.
155Zadanie 5.12.
155Zadanie 5.13.
155Zadanie 5.14.
156Zadanie 5.15.
156Zadanie 5.16.
156Zadanie 5.17.
157Zadanie 5.18.
157Zadanie 5.19.
158Zadanie 5.20.
158Zadanie 5.21.
158Zadanie 5.22.
158Zadanie 5.23.
159Zadanie 5.24.
159Zadanie 5.25.
160Zadanie 5.26.
160Zadanie 5.27.
160Zadanie 5.28.
160Zadanie 5.29.
160Zadanie 5.30.
161Zadanie 5.31.
161Zadanie 5.34.
161Zadanie 5.35.
162Zadanie 5.36.
162Zadanie 5.37.
162Zadanie 5.38.
163Zadanie 5.39.
163Zadanie 5.40.
163Zadanie 5.41.
163Zadanie 5.42.
163Zadanie 5.44.
164Zadanie 5.45.
164Zadanie 5.46.
164Zadanie 18.
171Zadanie 19.
171Zadanie 20.
171Zadanie 21.
172Zadanie 22.
172Zadanie 23.
172Zadanie 32.
173Zadanie 36.
174Zadanie 40.
174