W tym zadaniu musisz ocenić prawdziwość podanych stwierdzeń.
I. Największą wartość euro w tym okresie była większa od 4,60 zł. P
II. W tym okresie różnica między najniższą a najwyższą ceną euro była większa niż 20 gr. F
III. W ostatnim tygodniu badanego okresu wartość euro malała prawie przez cały czas. F
IV. Na końcu przedstawionego okresu kurs euro był ponad pięć razy wyższy niż na początku. F
I. Największą wartość euro w tym okresie była większa od 4,60 zł. P, ponieważ wykres wskazuje, że w okresie 26.10-01.11 wartość ta była większa.
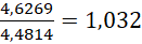
II. W tym okresie różnica między najniższą a najwyższą ceną euro była większa niż 20 gr. F, ponieważ różnica ta wynosi
III. W ostatnim tygodniu badanego okresu wartość euro malała prawie przez cały czas. F, ponieważ w ostatnim okresie cena większą ilość czasu rosła.
IV. Na końcu przedstawionego okresu kurs euro był ponad pięć razy wyższy niż na początku. F, ponieważ
Zadanie 7
239Zadanie 18
240Zadanie 19
240Zadanie 20
240Zadanie 15
248Zadanie 16
249Zadanie 13
253Zadanie 15
253Zadanie 10
256Zadanie 15
256Zadanie 16
256Zadanie 8
258Zadanie 9
258Zadanie 15
259Zadanie 2
262Zadanie 8
262Zadanie 12
263Zadanie 18
269Zadanie 17
273Zadanie 18
274Zadanie 19
274Zadanie 13
279