W tym zadaniu musisz obliczyć wymiary placu zabaw, jeśli jeden z boków jest krótszy o 3 m, a pole wynosi 180
Wymiary placu zabaw to 12 na 15 m.
Przyjmij, że
Podstaw współczynniki do wzoru na deltę
Zauważ, że
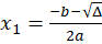
Zauważ, że długość nie może być ujemną liczbą. Oblicz drugi pierwiastek ze wzoru
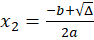
Oblicz drugą długość:
Ćwiczenie 1.
239Ćwiczenie 2.
239Ćwiczenie 3.
240Ćwiczenie 4.
240Ćwiczenie 5.
241Ćwiczenie 6.
241Ćwiczenie 7.
241Ćwiczenie 8.
242Zadanie 11.2.
242Zadanie 11.3.
242Zadanie 11.5.
243Zadanie 11.6.
243Zadanie 11.7.
243Zadanie 11.8.
243Ćwiczenie 9.
244Ćwiczenie 10.
244Zadanie 11.9.
245Zadanie 11.10.
245Zadanie 11.11.
245Zadanie 11.12.
245Zadanie 11.13.
245Zadanie 11.14.
245Zadanie 11.15.
245Ćwiczenie 11.
246Ćwiczenie 13.
248Ćwiczenie 14.
248Zadanie 11.16.
248Zadanie 11.17.
249Zadanie 11.18.
249Zadanie 11.19.
249Zadanie 11.20.
249Zadanie 11.21.
249