W tym zadaniu musisz obliczyć trzy kolejne liczby naturalne, które są bokami trójkąta prostokątnego.
Zauważ, że
Przekształć ją:
Podstaw współczynniki do wzoru na deltę
Zauważ, że
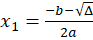
Boki trójkąta muszą być większe od zera, więc 0 nie może być rozwiązaniem.
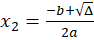
Oblicz drugi pierwiastek ze wzoru
Oblicz pozostałe boki trójkąta:
Ćwiczenie 1.
239Ćwiczenie 2.
239Ćwiczenie 3.
240Ćwiczenie 4.
240Ćwiczenie 5.
241Ćwiczenie 6.
241Ćwiczenie 7.
241Ćwiczenie 8.
242Zadanie 11.2.
242Zadanie 11.3.
242Zadanie 11.5.
243Zadanie 11.6.
243Zadanie 11.7.
243Zadanie 11.8.
243Ćwiczenie 9.
244Ćwiczenie 10.
244Zadanie 11.9.
245Zadanie 11.10.
245Zadanie 11.11.
245Zadanie 11.12.
245Zadanie 11.13.
245Zadanie 11.14.
245Zadanie 11.15.
245Ćwiczenie 11.
246Ćwiczenie 13.
248Ćwiczenie 14.
248Zadanie 11.16.
248Zadanie 11.17.
249Zadanie 11.18.
249Zadanie 11.19.
249Zadanie 11.20.
249Zadanie 11.21.
249