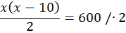
W tym zadaniu musisz obliczyć długości przekątnych rombu i jego obwód, jeśli pole rombu jest równe 600 cm2, a długości jego przekątnych różnią się o 10 cm.
Przekątne trapezu mają długości 40 cm i 30 cm, a jego obwód jest równy 100 cm.
Przyjmij, że x to dłuższa przekątna, a
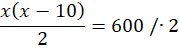
Podstaw współczynniki do wzoru na deltę
Zauważ, że
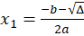
Zauważ, że długość nie może być ujemną liczbą. Oblicz drugi pierwiastek ze wzoru
Oblicz długość drugiego boku:
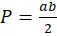
Oblicz bok rombu, przyjmij, że bok rombu to a. Zauważ, że przekątne dzielą romb na cztery trójkąty prostokątne, więc możesz policzyć a z twierdzenia Pitagorasa:
Oblicz obwód:
Ćwiczenie 1.
239Ćwiczenie 2.
239Ćwiczenie 3.
240Ćwiczenie 4.
240Ćwiczenie 5.
241Ćwiczenie 6.
241Ćwiczenie 7.
241Ćwiczenie 8.
242Zadanie 11.2.
242Zadanie 11.3.
242Zadanie 11.5.
243Zadanie 11.6.
243Zadanie 11.7.
243Zadanie 11.8.
243Ćwiczenie 9.
244Ćwiczenie 10.
244Zadanie 11.9.
245Zadanie 11.10.
245Zadanie 11.11.
245Zadanie 11.12.
245Zadanie 11.13.
245Zadanie 11.14.
245Zadanie 11.15.
245Ćwiczenie 11.
246Ćwiczenie 13.
248Ćwiczenie 14.
248Zadanie 11.16.
248Zadanie 11.17.
249Zadanie 11.18.
249Zadanie 11.19.
249Zadanie 11.20.
249Zadanie 11.21.
249