W tym zadaniu musisz określić, czy równanie
Równanie niezupełne
Przekształć równanie:
Równanie postaci
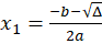
Podstaw współczynniki do wzoru na deltę
Zauważ, że
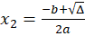
Oblicz drugi pierwiastek ze wzoru
Ćwiczenie 1.
239Ćwiczenie 2.
239Ćwiczenie 3.
240Ćwiczenie 4.
240Ćwiczenie 5.
241Ćwiczenie 6.
241Ćwiczenie 7.
241Ćwiczenie 8.
242Zadanie 11.2.
242Zadanie 11.3.
242Zadanie 11.5.
243Zadanie 11.6.
243Zadanie 11.7.
243Zadanie 11.8.
243Ćwiczenie 9.
244Ćwiczenie 10.
244Zadanie 11.9.
245Zadanie 11.10.
245Zadanie 11.11.
245Zadanie 11.12.
245Zadanie 11.13.
245Zadanie 11.14.
245Zadanie 11.15.
245Ćwiczenie 11.
246Ćwiczenie 13.
248Ćwiczenie 14.
248Zadanie 11.16.
248Zadanie 11.17.
249Zadanie 11.18.
249Zadanie 11.19.
249Zadanie 11.20.
249Zadanie 11.21.
249