W tym zadaniu musisz obliczyć dwie liczby, jeśli ich iloczyn jest równy 24, a jedna jest większa o 2 od drugiej.
lub
Przyjmij, że x to mniejsza liczba, wtedy druga liczba to x + 2. Zapisz równanie i przekształć je:
Podstaw współczynniki do wzoru na deltę
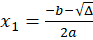
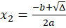
Zauważ, że
Oblicz drugi pierwiastek ze wzoru
Oblicz drugą liczbę, jeśli x = -6:
Oblicz drugą liczbę, jeśli x = 4:
Ćwiczenie 1.
239Ćwiczenie 2.
239Ćwiczenie 3.
240Ćwiczenie 4.
240Ćwiczenie 5.
241Ćwiczenie 6.
241Ćwiczenie 7.
241Ćwiczenie 8.
242Zadanie 11.2.
242Zadanie 11.3.
242Zadanie 11.5.
243Zadanie 11.6.
243Zadanie 11.7.
243Zadanie 11.8.
243Ćwiczenie 9.
244Ćwiczenie 10.
244Zadanie 11.9.
245Zadanie 11.10.
245Zadanie 11.11.
245Zadanie 11.12.
245Zadanie 11.13.
245Zadanie 11.14.
245Zadanie 11.15.
245Ćwiczenie 11.
246Ćwiczenie 13.
248Ćwiczenie 14.
248Zadanie 11.16.
248Zadanie 11.17.
249Zadanie 11.18.
249Zadanie 11.19.
249Zadanie 11.20.
249Zadanie 11.21.
249