W tym zadaniu musisz sprawdzić, czy trzy kolejne liczby naturalne nieparzyste mogą być bokami trójkąta prostokątnego.
Bokami trójkąta prostokątnego nie mogą być kolejne liczby naturalne nieparzyste.
Kolejne liczby naturalne nieparzyste to
Przekształć je:
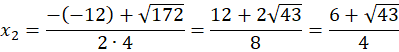
Podstaw współczynniki do wzoru na deltę
Zauważ, że
Oblicz drugi pierwiastek ze wzoru
Zauważ, że x musi być liczbą naturalną, a obliczone x1 i x2 nie są liczbami naturalnymi, więc taki trójkąt prostokątny nie istnieje.
Ćwiczenie 1.
239Ćwiczenie 2.
239Ćwiczenie 3.
240Ćwiczenie 4.
240Ćwiczenie 5.
241Ćwiczenie 6.
241Ćwiczenie 7.
241Ćwiczenie 8.
242Zadanie 11.2.
242Zadanie 11.3.
242Zadanie 11.5.
243Zadanie 11.6.
243Zadanie 11.7.
243Zadanie 11.8.
243Ćwiczenie 9.
244Ćwiczenie 10.
244Zadanie 11.9.
245Zadanie 11.10.
245Zadanie 11.11.
245Zadanie 11.12.
245Zadanie 11.13.
245Zadanie 11.14.
245Zadanie 11.15.
245Ćwiczenie 11.
246Ćwiczenie 13.
248Ćwiczenie 14.
248Zadanie 11.16.
248Zadanie 11.17.
249Zadanie 11.18.
249Zadanie 11.19.
249Zadanie 11.20.
249Zadanie 11.21.
249