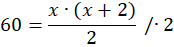
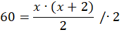
W tym zadaniu musisz obliczyć długości przyprostokątnych trójkąta, jeśli jego pole jest równe 60 cm2, a przyprostokątne są opisane jako
Boki trójkąta mają długość 10 i 12 cm.
Zauważ, że pole trójkąta jest wyrażone wzorem:
Podstaw wartości do wzoru i przekształć:
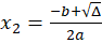
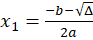
Podstaw współczynniki do wzoru na deltę
Zauważ, że
Zauważ, że -12 nie może być rozwiązaniem, ponieważ jest ujemne, a bok trójkąta musi być dodatni. Oblicz drugi pierwiastek ze wzoru
Więc jeden bok ma długość 10 cm, a drugi:
Ćwiczenie 1.
239Ćwiczenie 2.
239Ćwiczenie 3.
240Ćwiczenie 4.
240Ćwiczenie 5.
241Ćwiczenie 6.
241Ćwiczenie 7.
241Ćwiczenie 8.
242Zadanie 11.2.
242Zadanie 11.3.
242Zadanie 11.5.
243Zadanie 11.6.
243Zadanie 11.7.
243Zadanie 11.8.
243Ćwiczenie 9.
244Ćwiczenie 10.
244Zadanie 11.9.
245Zadanie 11.10.
245Zadanie 11.11.
245Zadanie 11.12.
245Zadanie 11.13.
245Zadanie 11.14.
245Zadanie 11.15.
245Ćwiczenie 11.
246Ćwiczenie 13.
248Ćwiczenie 14.
248Zadanie 11.16.
248Zadanie 11.17.
249Zadanie 11.18.
249Zadanie 11.19.
249Zadanie 11.20.
249Zadanie 11.21.
249