W tym zadaniu musisz obliczyć wartości sił F1 i F2, które działają prostopadle do siebie, a jedna z nich jest większa o 14 N. Wypadkowa F tych sił jest równa 26 N.
Skoro jedna siła jest większa od drugiej o 14 N, to zapisz:
Zauważ, że siły
Podstaw do wartości do wzoru i przekształć:
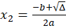
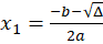
Podstaw współczynniki do wzoru na deltę
Zauważ, że
Oblicz drugi pierwiastek ze wzoru
Zauważ, że x musi być liczbą dodatnią, więc prawidłową odpowiedzią jest druga. Oblicz wartość drugiej siły:
Ćwiczenie 1.
239Ćwiczenie 2.
239Ćwiczenie 3.
240Ćwiczenie 4.
240Ćwiczenie 5.
241Ćwiczenie 6.
241Ćwiczenie 7.
241Ćwiczenie 8.
242Zadanie 11.2.
242Zadanie 11.3.
242Zadanie 11.5.
243Zadanie 11.6.
243Zadanie 11.7.
243Zadanie 11.8.
243Ćwiczenie 9.
244Ćwiczenie 10.
244Zadanie 11.9.
245Zadanie 11.10.
245Zadanie 11.11.
245Zadanie 11.12.
245Zadanie 11.13.
245Zadanie 11.14.
245Zadanie 11.15.
245Ćwiczenie 11.
246Ćwiczenie 13.
248Ćwiczenie 14.
248Zadanie 11.16.
248Zadanie 11.17.
249Zadanie 11.18.
249Zadanie 11.19.
249Zadanie 11.20.
249Zadanie 11.21.
249