W tym zadaniu musisz obliczyć trzy kolejne liczby naturalne, jeżeli suma ich kwadratów wynosi 509.
Zauważ, że trzy kolejne liczby naturalne to
Przekształć równanie:
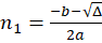
Podstaw współczynniki do wzoru na deltę
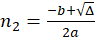
Zauważ, że
Zauważ, że -14 nie należy do zbioru liczb naturalnych, więc nie może być rozwiązaniem. Oblicz drugi pierwiastek ze wzoru
Oblicz pozostałe liczby:
Ćwiczenie 1.
239Ćwiczenie 2.
239Ćwiczenie 3.
240Ćwiczenie 4.
240Ćwiczenie 5.
241Ćwiczenie 6.
241Ćwiczenie 7.
241Ćwiczenie 8.
242Zadanie 11.2.
242Zadanie 11.3.
242Zadanie 11.5.
243Zadanie 11.6.
243Zadanie 11.7.
243Zadanie 11.8.
243Ćwiczenie 9.
244Ćwiczenie 10.
244Zadanie 11.9.
245Zadanie 11.10.
245Zadanie 11.11.
245Zadanie 11.12.
245Zadanie 11.13.
245Zadanie 11.14.
245Zadanie 11.15.
245Ćwiczenie 11.
246Ćwiczenie 13.
248Ćwiczenie 14.
248Zadanie 11.16.
248Zadanie 11.17.
249Zadanie 11.18.
249Zadanie 11.19.
249Zadanie 11.20.
249Zadanie 11.21.
249