W tym zadaniu musisz obliczyć długości boków trapezu, jeżeli jego pole to 220 cm2.
r – ramię trapezu
Podstawy trapezu mają długości 14 cm i 30 cm, a ramię
Ułóż równanie, korzystając ze wzoru na pole trapezu i przekształć je:
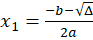
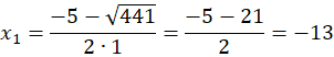
Podstaw współczynniki do wzoru na deltę
Zauważ, że
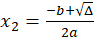
Zauważ, że długość nie może być ujemną liczbą. Oblicz drugi pierwiastek ze wzoru
Oblicz długości boków i wysokości:
Oblicz ramię trapezu, korzystając z twierdzenia Pitagorasa:
r – ramię trapezu
Ćwiczenie 1.
239Ćwiczenie 2.
239Ćwiczenie 3.
240Ćwiczenie 4.
240Ćwiczenie 5.
241Ćwiczenie 6.
241Ćwiczenie 7.
241Ćwiczenie 8.
242Zadanie 11.2.
242Zadanie 11.3.
242Zadanie 11.5.
243Zadanie 11.6.
243Zadanie 11.7.
243Zadanie 11.8.
243Ćwiczenie 9.
244Ćwiczenie 10.
244Zadanie 11.9.
245Zadanie 11.10.
245Zadanie 11.11.
245Zadanie 11.12.
245Zadanie 11.13.
245Zadanie 11.14.
245Zadanie 11.15.
245Ćwiczenie 11.
246Ćwiczenie 13.
248Ćwiczenie 14.
248Zadanie 11.16.
248Zadanie 11.17.
249Zadanie 11.18.
249Zadanie 11.19.
249Zadanie 11.20.
249Zadanie 11.21.
249