W tym zadaniu musisz obliczyć, o ile wydłużono szerokość i długość prostokąta o początkowych wymiarach 8 cm i 5 cm, jeśli do obu boków dodano taką samą liczbę centymetrów i pole zwiększyło się o 30 cm2.
Boki prostokąta wydłużono o 2 cm.
Przyjmij, że x to ilość dodanych centymetrów do długości boków prostokąta. Oblicz pole początkowe:
Oblicz pole końcowe:
Ułóż równanie i przekształć je:
Podstaw współczynniki do wzoru na deltę
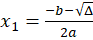
Zauważ, że
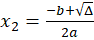
Oblicz drugi pierwiastek ze wzoru
Zauważ, że x musi być liczbą dodatnią, więc prawidłową odpowiedzią jest x2.
Ćwiczenie 1.
239Ćwiczenie 2.
239Ćwiczenie 3.
240Ćwiczenie 4.
240Ćwiczenie 5.
241Ćwiczenie 6.
241Ćwiczenie 7.
241Ćwiczenie 8.
242Zadanie 11.2.
242Zadanie 11.3.
242Zadanie 11.5.
243Zadanie 11.6.
243Zadanie 11.7.
243Zadanie 11.8.
243Ćwiczenie 9.
244Ćwiczenie 10.
244Zadanie 11.9.
245Zadanie 11.10.
245Zadanie 11.11.
245Zadanie 11.12.
245Zadanie 11.13.
245Zadanie 11.14.
245Zadanie 11.15.
245Ćwiczenie 11.
246Ćwiczenie 13.
248Ćwiczenie 14.
248Zadanie 11.16.
248Zadanie 11.17.
249Zadanie 11.18.
249Zadanie 11.19.
249Zadanie 11.20.
249Zadanie 11.21.
249