W tym zadaniu musisz obliczyć długości boków kwadratów, jeśli różnią się o2, a suma ich pól jest równa 10.
Boki kwadratów mają długości 1 i 3.
Ułóż równanie i przekształć je:
Podstaw współczynniki do wzoru na deltę
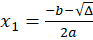
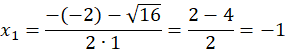
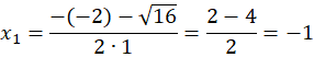
Zauważ, że
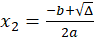
Zauważ, że długość nie może być ujemną liczbą. Oblicz drugi pierwiastek ze wzoru
Oblicz długość drugiego boku:
Ćwiczenie 1.
239Ćwiczenie 2.
239Ćwiczenie 3.
240Ćwiczenie 4.
240Ćwiczenie 5.
241Ćwiczenie 6.
241Ćwiczenie 7.
241Ćwiczenie 8.
242Zadanie 11.2.
242Zadanie 11.3.
242Zadanie 11.5.
243Zadanie 11.6.
243Zadanie 11.7.
243Zadanie 11.8.
243Ćwiczenie 9.
244Ćwiczenie 10.
244Zadanie 11.9.
245Zadanie 11.10.
245Zadanie 11.11.
245Zadanie 11.12.
245Zadanie 11.13.
245Zadanie 11.14.
245Zadanie 11.15.
245Ćwiczenie 11.
246Ćwiczenie 13.
248Ćwiczenie 14.
248Zadanie 11.16.
248Zadanie 11.17.
249Zadanie 11.18.
249Zadanie 11.19.
249Zadanie 11.20.
249Zadanie 11.21.
249