Należy sprawdzić, który z podanych trójkątów jest podobny do trójkąta o bokach 14 cm, 10 cm i 12 cm.
Korzystamy z podobieństwa trójkątów:
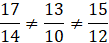
Sprawdzamy podpunkt A:
Trójkąt z punktu A nie jest podobny do trójkąta z polecenia.
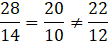
Sprawdzamy podpunkt B:
Trójkąt z punktu B nie jest podobny do trójkąta z polecenia.
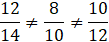
Sprawdzamy podpunkt C:
Trójkąt z punktu C jest podobny do trójkąta z polecenia.
Sprawdzamy podpunkt:
Prawidłową odpowiedzią jest odpowiedź: C.
Zadanie 1.1.
214Zadanie 1.4.
215Zadanie 1.8.
215Zadanie 1.13.
215Zadanie 1.18.
216Zadanie 1.19.
216Zadanie 1.24.
216Zadanie 1.27.
216Zadanie 2.4.
227Zadanie 2.5.
227Zadanie 2.9.
228Zadanie 2.14.
229Zadanie 3.6.
244Zadanie 3.15.
244Zadanie 3.17.
245Zadanie 3.18.
245Zadanie 4.6.
252Zadanie 4.7.
252Zadanie 4.8.
253Zadanie 4.9.
253Zadanie 4.10.
253Zadanie 4.11.
253Zadanie 4.12.
253Zadanie 4.15.
253Zadanie 2.
254Zadanie 4.
254Zadanie 5.5.
260Zadanie 5.7.
260Zadanie 5.8.
261Zadanie 2.
262Zadanie 6.4.
269Zadanie 6.5.
270Zadanie 6.6.
270Zadanie 6.8.
270Zadanie 3
272Zadanie 7.5.
278Zadanie 7.7.
279Zadanie 7.9.
279Zadanie 7.10.
279Zadanie 7.12.
279Zadanie 8.5.
296Zadanie 8.6.
296Zadanie 8.7.
296Zadanie 8.13.
297