Skul.pl
  • Opracowania zadań z podręczników
  • Matematyka. Klasa 8. Zeszyt ćwiczeń - rozwiązania i odpowiedzi
  • Podpunkt c)

Matematyka. Klasa 8. Zeszyt ćwiczeń - rozwiązania i odpowiedzi

Zeszyt ćwiczeń, Wydawnictwo: WSiP
Poprzednie

Zadanie 6., c) - strona 73

Następne

Zadanie

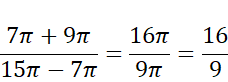
Uprość wyrażenie .

Rozwiązanie

Skul

Wyjaśnienie

Skróć wyrażenie, dzieląc licznik i mianownik przez wspólną liczbę.

Poprzednie
Następne

Matematyka - wybrane pytania

Zadanie 3, strona 24, Matematyka z plusem. Klasa 6. Zeszyt ćwiczeń - pytania i odpowiedzi.
Zadanie 4.12., strona 119, Prosto do matury. Matematyka. Klasa 2. Podręcznik. Zakres podstawowy i rozszerzony – rozwiązania i odpowiedzi
Zadanie 4., strona 86, Matematyka. Klasa 3. Podręcznik. Zakres podstawowy - rozwiązania i odpowiedzi
Zadanie 5., strona 97, Teraz matura. Klasa 4. Poziom rozszerzony. Zbiór zadań – rozwiązania i odpowiedzi
Zadanie 15, strona 83, Matematyka. Klasa 5. Podręcznik - rozwiązania i odpowiedzi
Ćwiczenie 25., strona 33, Matematyka. Klasa 4. Podręcznik – rozwiązania i odpowiedzi
Zadanie 14, strona 17, Matematyka z kluczem. Klasa 7. Podręcznik – rozwiązania i odpowiedzi
Zadanie 1, strona 191, Matematyka z kluczem. Klasa 6. Podręcznik. Część 2 - rozwiązania i odpowiedzi
Zadanie 20, strona 136, Matematyka wokół nas. Klasa 6. Podręcznik – rozwiązania i odpowiedzi
Ćwiczenie 6., strona 101, Matematyka z plusem. Klasa 5. Zeszyt ćwiczeń. Wersja C - rozwiązania i odpowiedzi
REKLAMA
Skul
Zadania z tego działu
9. Koło i okrąg
72
9.1. Liczba π
72

Zadanie 1.

72

Zadanie 2.

72

Zadanie 3.

72

Zadanie 4.

72

Zadanie 5.

73

Zadanie 6.

73

Podpunkt a)

73

Podpunkt b)

73

Podpunkt c)

73

Podpunkt d)

73

Podpunkt e)

73

Podpunkt f)

73

Podpunkt g)

73

Zadanie 7.

73

Podpunkt a)

73

Podpunkt b)

73

Zadanie 8.

73

Podpunkt a)

73

Podpunkt b)

73

Zadanie 9.

74

Podpunkt a)

74

Podpunkt b)

74

Podpunkt c)

74

Zadanie 10.

74

Zadanie 11.

74
9.2. Długość okręgu
75

Zadanie 1.

75

Zadanie 2.

75

Zadanie 3.

75

Podpunkt a)

75

Podpunkt b)

75

Podpunkt c)

75

Zadanie 4.

76

Podpunkt a)

76

Podpunkt b)

76

Podpunkt c)

76

Zadanie 5.

76

Zadanie 6.

77

Zadanie 7.

77

Zadanie 8.

77
9.3. Pole koła
78

Zadanie 1.

78

Zadanie 2.

78

Zadanie 3.

78

Podpunkt a)

78

Podpunkt b)

78

Podpunkt c)

78

Podpunkt d)

78

Zadanie 4.

78

Podpunkt a)

78

Podpunkt b)

78

Podpunkt c)

78

Podpunkt d)

78

Zadanie 5.

79

Zadanie 6.

79

Podpunkt a)

79

Podpunkt b)

79

Zadanie 7.

80

Zadanie 8.

80

Zadanie 9.

80
Pełny spis treści
Skul
Artboard 1
Skul.pl
  • Napisz do nas
  • FAQ
  • Mapa Serwisu
  • Google Play
  • App Store

Korzystanie z portalu oznacza akceptację Regulaminu.
Polityka prywatności. Ustawienia preferencji. Copyright: INTERIA.PL 1999-2023 Wszystkie prawa zastrzeżone.