W tym zadaniu musisz wyznaczyć dany współczynnik kątowy (kierunkowy) prostej oraz podać równanie kierunkowe prostej.
Współczynnik kątowy prostej jest równy wartości tangensa dla kąta, pod którym prosta nachylona jest do osi OX.
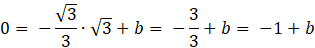
Aby wyznaczyć równanie kierunkowe prostej, podstaw współrzędne punktu do wzoru, a następnie oblicz z niego wartość niewiadomej b.
Zadanie 2
294Zadanie 4
294Zadanie 5
294Zadanie 6
294Zadanie 1
300Zadanie 2
300Zadanie 3
300Zadanie 4
300Zadanie 5
300Zadanie 6
300Zadanie 7
300Zadanie 8
300Zadanie 2
306Zadanie 3
306Zadanie 4
306Zadanie 5
307Zadanie 6
307Zadanie 7
307Zadanie 8
307Zadanie 12
307Zadanie 1
312Zadanie 2
301Zadanie 3
312Zadanie 4
312Zadanie 5
312Zadanie 6
301Zadanie 7
312Zadanie 8
312Zadanie 3
323Zadanie 7
323Zadanie 13
325Zadanie 14
325Zadanie 16
325Zadanie 20
325