W tym zadaniu musisz wyznaczyć współrzędne podanych punktów.
Prosta k:
Oś OX:
Oś OY:
Prosta l:
Oś OX:
Oś OY:
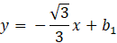
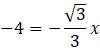
Aby rozwiązać zadanie w pierwszej kolejności, wyznacz wzór prostej k. Skorzystaj przy tym ze znajomości jej kąta nachylenia do OX (skąd oblicz wartość współczynnika kierunkowego) oraz ze współrzędnych należącego do niej punku P. Następnie wyznacz wzór prostej l, wiedząc, że jest ona prostopadła do k (iloczyn ich współczynników kierunkowych jest równy -1) oraz że również należy do niej punkt P.
Następnie wyznacz współrzędne punktów przecięcia prostych z osiami układu.
Zadanie 2
294Zadanie 4
294Zadanie 5
294Zadanie 6
294Zadanie 1
300Zadanie 2
300Zadanie 3
300Zadanie 4
300Zadanie 5
300Zadanie 6
300Zadanie 7
300Zadanie 8
300Zadanie 2
306Zadanie 3
306Zadanie 4
306Zadanie 5
307Zadanie 6
307Zadanie 7
307Zadanie 8
307Zadanie 12
307Zadanie 1
312Zadanie 2
301Zadanie 3
312Zadanie 4
312Zadanie 5
312Zadanie 6
301Zadanie 7
312Zadanie 8
312Zadanie 3
323Zadanie 7
323Zadanie 13
325Zadanie 14
325Zadanie 16
325Zadanie 20
325