W tym zadaniu musisz podać równanie podanej prostej.
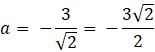
W pierwszym kroku rozwiązania przekształć równanie prostej k do postaci kierunkowej. Ponieważ szukana prosta ma być prostopadła do prostej k, iloczyn współczynników kierunkowych tych dwóch prostych musi być równy -1.
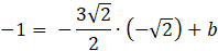
Do otrzymanego wzoru podstaw współrzędne punktu P, otrzymując równanie, z którego wyznacz wartość współczynnika b.
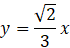
Przekształć otrzymany wzór w postaci kierunkowej do postaci ogólnej.
Zadanie 2
294Zadanie 4
294Zadanie 5
294Zadanie 6
294Zadanie 1
300Zadanie 2
300Zadanie 3
300Zadanie 4
300Zadanie 5
300Zadanie 6
300Zadanie 7
300Zadanie 8
300Zadanie 2
306Zadanie 3
306Zadanie 4
306Zadanie 5
307Zadanie 6
307Zadanie 7
307Zadanie 8
307Zadanie 12
307Zadanie 1
312Zadanie 2
301Zadanie 3
312Zadanie 4
312Zadanie 5
312Zadanie 6
301Zadanie 7
312Zadanie 8
312Zadanie 3
323Zadanie 7
323Zadanie 13
325Zadanie 14
325Zadanie 16
325Zadanie 20
325