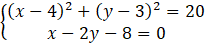
W tym zadaniu musisz rozwiązać dany układ równań metodą algebraiczną, a następnie przedstawić jego interpretację graficzną.
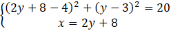
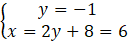
Aby rozwiązać układ metodą algebraiczną, wyznacz z drugiego równania wartość zmiennej x w zależności od y. Podstaw ją do pierwszego równania. Otrzymasz równanie kwadratowe jednej niewiadomej y. Rozwiąż je, a następnie na podstawie jego pierwiastka wyznacz wartość x.
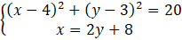
Interpretacją graficzną układu jest okrąg reprezentujący pierwsze równanie i prosta reprezentująca drugie równanie. Ponieważ prosta jest styczna do okręgu, równanie ma tylko jedno rozwiązanie.
Zadanie 2
294Zadanie 4
294Zadanie 5
294Zadanie 6
294Zadanie 1
300Zadanie 2
300Zadanie 3
300Zadanie 4
300Zadanie 5
300Zadanie 6
300Zadanie 7
300Zadanie 8
300Zadanie 2
306Zadanie 3
306Zadanie 4
306Zadanie 5
307Zadanie 6
307Zadanie 7
307Zadanie 8
307Zadanie 12
307Zadanie 1
312Zadanie 2
301Zadanie 3
312Zadanie 4
312Zadanie 5
312Zadanie 6
301Zadanie 7
312Zadanie 8
312Zadanie 3
323Zadanie 7
323Zadanie 13
325Zadanie 14
325Zadanie 16
325Zadanie 20
325