W tym zadaniu musisz skonstruować podany kąt.
Skonstruowanie trójkąta jest możliwe tylko wtedy, gdy punkty A, B i S nie leżą na jednej prostej.
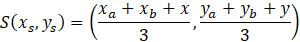
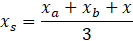
W tym zadaniu musisz wyznaczyć współrzędne punktu C, w zależności od współrzędnych punktów A, B i S (są one dane – przyjmujemy je za stałe w zadaniu). Aby to zrobić skorzystaj z twierdzenia:
Jeśli punkt S jest środkiem ciężkości trójkąta ABC, gdzie A(x1, y1), B(x2, y2) i C(x3, y3), to
Przekształć otrzymane równania tak, by wyznaczyć współrzędne punktu C.
Skonstruowanie trójkąta będzie możliwe tylko wtedy, gdy punkty A, B i S nie są współliniowe. W przeciwnym wypadku punkt C również musiałby być z nimi współliniowy (by była spełniona zależność z twierdzenia), więc nie byłaby możliwa konstrukcja trójkąta.
Zadanie 2
294Zadanie 4
294Zadanie 5
294Zadanie 6
294Zadanie 1
300Zadanie 2
300Zadanie 3
300Zadanie 4
300Zadanie 5
300Zadanie 6
300Zadanie 7
300Zadanie 8
300Zadanie 2
306Zadanie 3
306Zadanie 4
306Zadanie 5
307Zadanie 6
307Zadanie 7
307Zadanie 8
307Zadanie 12
307Zadanie 1
312Zadanie 2
301Zadanie 3
312Zadanie 4
312Zadanie 5
312Zadanie 6
301Zadanie 7
312Zadanie 8
312Zadanie 3
323Zadanie 7
323Zadanie 13
325Zadanie 14
325Zadanie 16
325Zadanie 20
325