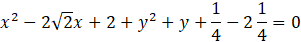
W tym zadaniu musisz przekształcić równanie okręgu w postaci zredukowanej do postaci kanonicznej. Następnie zapisz współrzędne środka i promień okręgu.
Aby przekształcić wzór do postaci kanonicznej, w pierwszej kolejności zapisz składniki w kolejności ułatwiającej znalezienie odpowiednich wzorów skróconego mnożenia. Następnie wyznacz odpowiednie dopełnienia do wzorów i pamiętaj, by jeśli znalezienie dopełnień wymaga dodania jakiejś wartości, tę samą wartość odjąć. Następnie zwiń wyrażenia do wzorów skróconego mnożenia i przenieś pozostały składnik na drugą stronę równania.
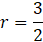
Z otrzymanego wzoru w postaci kanonicznej odczytaj współrzędne środka i długość promienia okręgu.
Zadanie 2
294Zadanie 4
294Zadanie 5
294Zadanie 6
294Zadanie 1
300Zadanie 2
300Zadanie 3
300Zadanie 4
300Zadanie 5
300Zadanie 6
300Zadanie 7
300Zadanie 8
300Zadanie 2
306Zadanie 3
306Zadanie 4
306Zadanie 5
307Zadanie 6
307Zadanie 7
307Zadanie 8
307Zadanie 12
307Zadanie 1
312Zadanie 2
301Zadanie 3
312Zadanie 4
312Zadanie 5
312Zadanie 6
301Zadanie 7
312Zadanie 8
312Zadanie 3
323Zadanie 7
323Zadanie 13
325Zadanie 14
325Zadanie 16
325Zadanie 20
325