W tym zadaniu musisz wyznaczyć wzór funkcji liniowej, która jest prostopadła do prostek k (która jest nachylona do osi OX pod kątem, którego tangens jest równy -2) oraz przecina oś OY w punkcie o rzędnej 4.
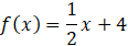
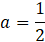
Jeśli wykres funkcji przecina oś OY w punkcie o rzędnej 4, oznacza to, że f(0) = 4. Z otrzymanego równania oblicz wartość współczynnika b. Tangens kąta, pod którym prosta jest nachylona do osi OX jest równy jej współczynnikowi kierunkowemu. Aby dwie proste były prostopadłe, iloczyn ich współczynników kierunkowych musi być równy -1. Na podstawie tej własności zapisz równanie, które pozwoli wyznaczyć wartość współczynnika kierunkowego funkcji f. Zapisz wzór funkcji liniowej.
Zadanie 2
294Zadanie 4
294Zadanie 5
294Zadanie 6
294Zadanie 1
300Zadanie 2
300Zadanie 3
300Zadanie 4
300Zadanie 5
300Zadanie 6
300Zadanie 7
300Zadanie 8
300Zadanie 2
306Zadanie 3
306Zadanie 4
306Zadanie 5
307Zadanie 6
307Zadanie 7
307Zadanie 8
307Zadanie 12
307Zadanie 1
312Zadanie 2
301Zadanie 3
312Zadanie 4
312Zadanie 5
312Zadanie 6
301Zadanie 7
312Zadanie 8
312Zadanie 3
323Zadanie 7
323Zadanie 13
325Zadanie 14
325Zadanie 16
325Zadanie 20
325