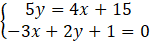
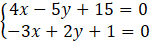
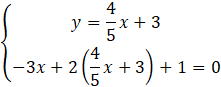
W tym zadaniu musisz rozwiązać dany układ równań metodą algebraiczną, a następnie przedstawić jego interpretację graficzną.
Aby rozwiązać układ metodą algebraiczną, wyznacz z pierwszego równania wartość y w zależności od x. Podstaw ją do drugiego równania. Otrzymasz równanie liniowe, z którego możesz wyznaczyć wartość x, na podstawie której następnie oblicz wartość y.
Interpretacją geometryczną układu są dwie proste, a rozwiązaniem punkt ich przecięcia.
Zadanie 2
294Zadanie 4
294Zadanie 5
294Zadanie 6
294Zadanie 1
300Zadanie 2
300Zadanie 3
300Zadanie 4
300Zadanie 5
300Zadanie 6
300Zadanie 7
300Zadanie 8
300Zadanie 2
306Zadanie 3
306Zadanie 4
306Zadanie 5
307Zadanie 6
307Zadanie 7
307Zadanie 8
307Zadanie 12
307Zadanie 1
312Zadanie 2
301Zadanie 3
312Zadanie 4
312Zadanie 5
312Zadanie 6
301Zadanie 7
312Zadanie 8
312Zadanie 3
323Zadanie 7
323Zadanie 13
325Zadanie 14
325Zadanie 16
325Zadanie 20
325